NXP Semiconductors LPC11xx Arm Cortex-M0 Microcontrollers

NXP Semiconductors LPC11xx Arm Cortex-M0 Microcontrollers (MCUs) offer exceptional power efficiency, a broad selection of package options, and a scalable portfolio with connectivity including USB, LCD, and CAN interfaces. The LPC11xx MCU family is designed for 8/16-bit microcontroller operations, offering performance, low power, simple instruction set with reduced code size compared to existing 8/16-bit architectures. The peripheral complement of the LPC11xx family includes up to 64 KB of flash memory, up to 8KB of SRAM, fast-mode plus I2C-bus interface, RS-485/EIA-485 UART, SPI with SSP features, general-purpose counters/timers, an analog-to-digital converter (ADC), and up to 42 general-purpose I/O pins.

Features

  • System
    • Arm Cortex-M0 processor, running at frequencies of up to 50MHz
    • Arm Cortex-M0 built-in nested vectored interrupt controller (NVIC)
    • Non-maskable interrupt (NMI) input selectable from several input sources
    • Serial wire debug
    • System tick timer
  • Memory
    • Up to 64KB on-chip flash programming memory
    • Up to 8KB SRAM
    • In-system programming (ISP) and In-application programming (IAP) via on-chip bootloader software
  • Serial interfaces
    • Up to 3 UARTs with fractional baud rate generation, internal FIFO, and RS-485 support
    • Up to 2 SPI controllers with SSP features and with FIFO and multi-protocol capabilities
    • I2C-bus interface supporting full I2C-bus specification and fast-mode Plus with a data rate of 1Mbit/s with multiple address recognition and monitor mode (not on LPC1112FDH20/102)
  • Digital peripherals
    • Up to 42 general-purpose I/O (GPIO) pins with configurable pull-up/pull-down resistors, configurable open-drain mode is also supported on LPC1100L and LPC1100XL series
    • GPIO pins can be used as edge and level-sensitive interrupt sources
    • High-current output driver (20mA) on one pin
    • High-current sink drivers (20mA) on 2 I2C-bus pins in fast-mode plus (not on LPC1112FDH20/102)
    • 4 general-purpose counters/timers with up to 8 capture inputs and up to 13 match outputs
    • Programmable windowed WDT
  • Analog peripherals
    • 10/12-bit ADC with up to 2 Msamples/s and up to 8 channels
  • Clock generation
    • 12MHz internal RC oscillator trimmed to 1% accuracy that can optionally be used as a system clock
    • Crystal oscillator with an operating range of 1MHz to 25MHz
    • Programmable watchdog oscillator with a frequency range of 9.4kHz to 2.3MHz
    • PLL allows CPU operation up to the maximum CPU rate without the need for a high-frequency crystal. May be run from the system oscillator or the internal RC oscillator
    • Clock output function with divider that can reflect the system oscillator clock, IRC clock, CPU clock, and the Watchdog clock
  • Power control
    • Integrated PMU (Power Management Unit) to minimize power consumption during Sleep, Deep-sleep, and Deep power-down modes
    • Power profiles residing in boot ROM allow for optimizing performance and minimize power consumption for any given application through one simple function call
    • 3 reduced power modes: Sleep, Deep-sleep, and Deep power-down
    • Processor wakeup from deep-sleep mode via a dedicated start logic using up to 13 of functional pins
    • Power-on reset (POR)
    • Brownout detection with up to 4 separate thresholds for interrupt and forced reset
  • Additional features
    • Unique device serial number for identification
    • Single power supply (1.8V to 3.6V)
    • WLCSP16, SO20, TSSOP20, TSSOP28, HVQFN24, HVQFN33, TFBGA48, and LQFP48 packages

Applications

  • Battery-powered systems
  • E-metering
  • Consumer peripherals
  • Remote sensors
  • 16-bit applications

Videos

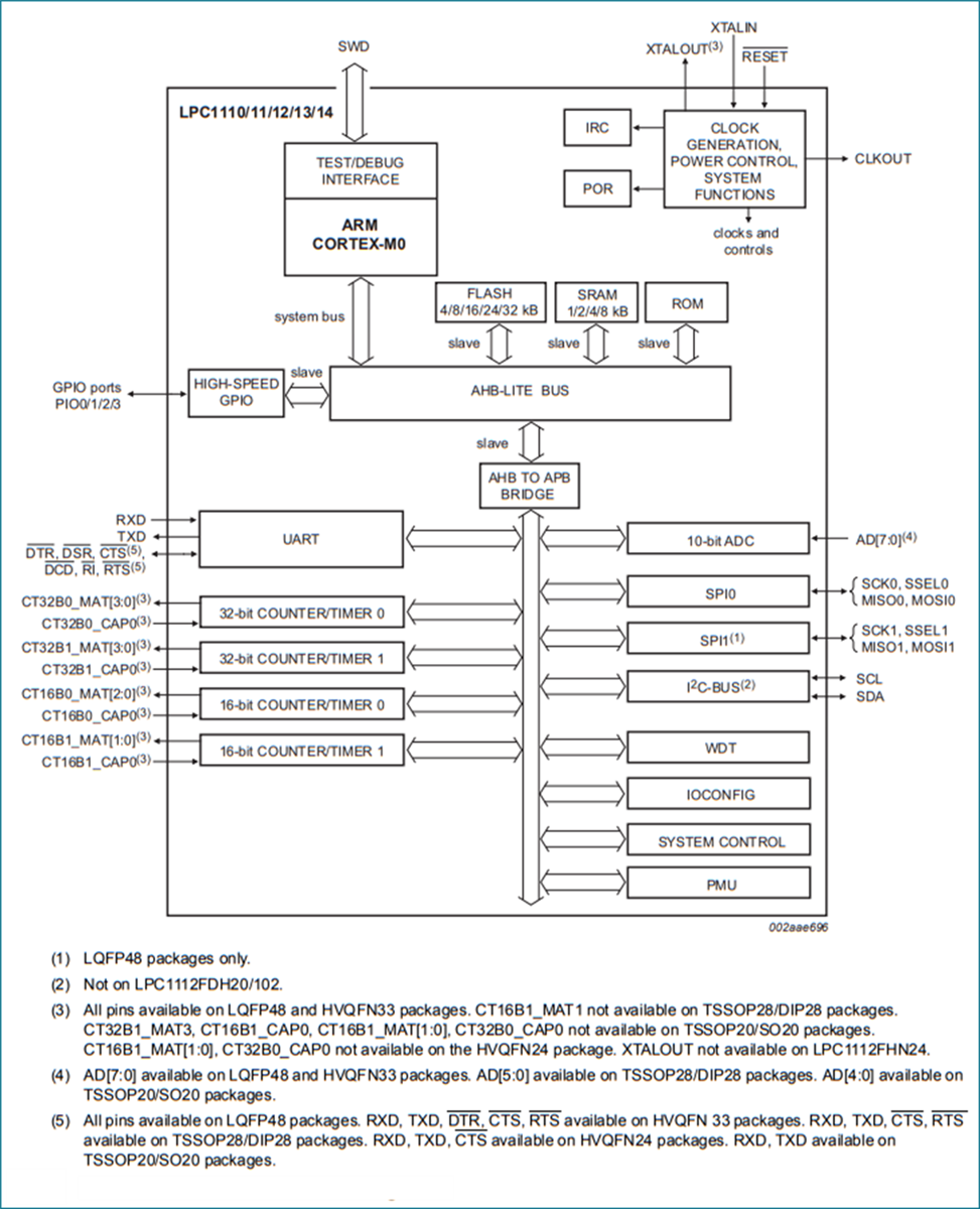
Block Diagram

Block Diagram - NXP Semiconductors LPC11xx Arm Cortex-M0 Microcontrollers
Publicado: 2009-12-18 | Actualizado: 2026-02-03